双赢彩票

2021年上半年机电双赢彩票 拟确定积极分子名单公示

发布时间:2021-03-28 浏览量:

各位同学:

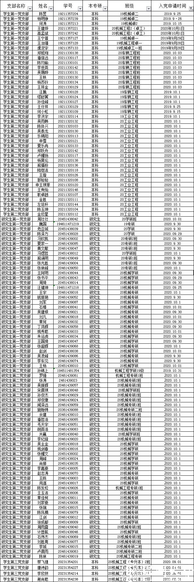
经班级推荐、支部讨论,拟确定陈昱等116名同学作为积极分子,现将信息公示如下,如有异议,请反馈至机电双赢彩票 学工办,联系电话:0577-86689269,联系人:杨老师。

双赢彩票 公众号
版权所有 ©双赢娱乐城官方直营 - 2026 顶级彩票/真人百家乐/高爆电子/一站式博弈平台 浙ICP备07006821号-1